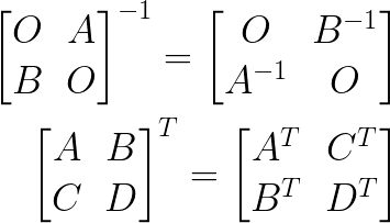
基本计算
对角矩阵存在交换律,即 $\bigwedge_1 \bigwedge_2=\bigwedge_2 \bigwedge_1$
注意交换位置
对于 AB=C
- B & C均按列分块,则$A(\beta_1 \beta_2 \beta_3)=(\gamma_1 \gamma_2 \gamma_3)$,故B的列向量都是$AX=\gamma$ 的解,特别的,当AB=O即C=O时,B的列向量均是 $AX=0$ 的解。
- B & C按行分块,则 AB的行向量均可由B的行向量线性表出。
- A & C按列分块,则 AB的列向量均可由A的列向量线性表出。[2013]
规律1与解联系起来,尤其是AB=O推出B的列向量是Ax=0的解这一规律,除此之外AB=O也经常用r(A)+r(B)≤ n这个不等式。
“AB=O” 👉 方程的解(B的列向量是A的解)
👉 秩 r(A)+r(B) ≤ n (n为A的列,B的行)
规律2,3与线性表出关联,进而可以跟秩,向量组等价(能互相线性表出则等价)联系起来。
几个特殊符号
$a(a_1,a_2,a_3)^T$
矩阵:
$ab^T$ = $(ba^T)^T$
$r(ab^T)$ ≤ $r(a)$ ≤ 1
任何两行成比例
$aa^T$: 对称矩阵
数:
$a^Tb = b^Ta$: $ab^T$ 或 $ba^T$的绩(主对角线元素之和)
$a^Ta$: 平方和
$A^n$
主要有三种形式
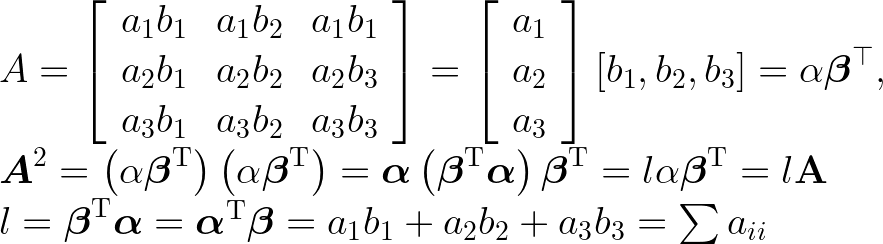
题型一:r(A)=1
若秩r(A)=1,则A可分解为一个列向量与一个行向量的乘积,有A2=A之规律,从而$A^{n}=l^{n-1}A$
![]()
即$A^{n}=(\sum a_{ii})^{n-1}A$
题型二:主对角线和一侧全为0
这类对于n阶矩阵A,$A^{n}=0$
题型三:相似
$A^{n}=PB^{n}P^{-1}$,关键在于选择B矩阵,
通常$A ∽ \wedge$ ,即选B为与A相似对角矩阵,根据与相似对角化的知识,有$A^n=P \wedge^{n} P^{-1}$,P为特征向量组,$\wedge$对角元素为A特征值。
解:
![]()
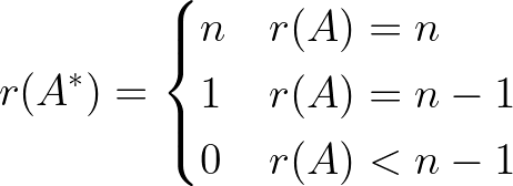
伴随矩阵,可逆矩阵
(一)伴随矩阵
由基本公式$AA^{}=A^{}A=|A|E$,可以推导出以下几个公式:
- $A^{-1}= \frac{1}{|A|}A^{*}$
- $(A^{-1})^{ * } =(A^{*})^{-1}=\frac{1}{|A|}A$
设A是n阶矩阵
证明过程:
![]()
真题
由 $A^{*}=A^{T}$,可得:
$A_{ij}=a_{ij},\forall i,j=1,2,3$
则 对A按照第一行展开有:
$A=a_{11}A_{11}+a_{12}A_{12}+a_{13}A_{13}=(a_{11})^2+(a_{12})^2+(a_{13})^2=3(a_{11})^2$
又根据 $A^{*}=A^{T}$ 有:
$|A^{*}|=|A^{T}|$
即,$|A|^{3-1}=|A|$,$|A|(|A|-1)=0$,易知|A|≠0,
故 A=1
进而 $3(a_{11})^2=1$ ,$a_{11}=\frac{√3}{2}$
(二)可逆矩阵
A可逆 $\Leftrightarrow$ |A| ≠ 0
$\Leftrightarrow$ r(A) = n
$\Leftrightarrow$ A的列(行)向量线性无关
$\Leftrightarrow$ 0不是A的特征值
真题
单位矩阵与矩阵的转置
![]()
初等矩阵
用初等矩阵P左(右)乘矩阵A,结果PA(AP)就是对矩阵A作一次相应的初等行(列)变换。
“左乘行变换,右乘列变换”
初等矩阵均可逆,且其逆是同类型的初等矩阵:
$[\text{倍加}]^{-1}$=[倍数取反]
$[\text{倍乘}]^{-1}$=[取倒数] (对角矩阵也能理解)
$[\text{互换}]^{-1}$=[不变]
例题
观察下标得变换规律
正交矩阵
内积:
$(\alpha,\beta)=a_1b_1+a_2b_2+…a_nb_n$
$\alpha^T \beta,\alpha^T\alpha \text{与}\beta^T\alpha$表示内积!!!
若$(\alpha,\beta)=0$,称两者正交
$AA^T=A^TA=E$,A为正交矩阵。
$\Leftrightarrow$ $A^T=A^{-1}$ (充要条件)
$\Rightarrow |A|=1 \text{或}-1$ (必要不充分条件)
由$AA^T=A^TA=E$,得其几何意义(判断正交矩阵):
- 列(行)向量两两正交(正交名称由来)
- 列(行)向量长度为1

